poniedziałek, 15 grudzień 2025 YouTUBE Gmina Męcinka Facebook Gmina Męcinka Fundusze Europejskie Wymiana pieców w Gminie Męcinka
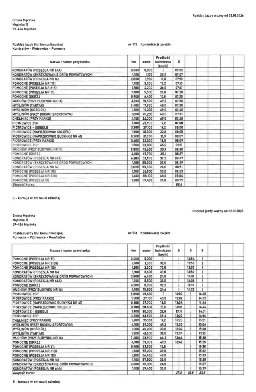
rozkład plakat


Powiększ (format JPG)

protal epuap gov pl - Załatw sprawę przez internet
Inicjatywa obywatel.gov.pl
niewerbalna
PUP w Jaworze

Polskie Sieci Elektroenergetyczne S.A. - link
Regionalny System Ostrzegania RSO
System Informacji Przestrzennej
 
Budowlane ABC Poradnik
mikroporady
Link - INTERNET.GOV.PL

EFS Żłobek w Męcince

park chelmy
pz szlak
lgd partnerstwokaczawskie